你提供的照片可能用于改善必应图片处理服务。
隐私政策
|
使用条款
无法使用此链接。检查链接是否以 "http://" 或 "https://" 开头,然后重试。
无法处理此搜索。请尝试其他图像或关键字。
试用视觉搜索
使用图像搜索、识别对象和文本、翻译或解决问题
将一个或多个图像拖到此处,
上传图像
或
打开相机
将图像放置到任意位置以开始搜索
要使用可视化搜索,请在浏览器中启用相机
English
全部
搜索
图片
灵感
创建
集合
视频
地图
资讯
更多
购物
航班
旅游
笔记本
自动播放所有 GIF
在这里更改自动播放及其他图像设置
自动播放所有 GIF
拨动开关以打开
自动播放 GIF
图片尺寸
全部
小
中
大
特大
至少... *
自定义宽度
x
自定义高度
像素
请为宽度和高度输入一个数字
颜色
全部
仅限颜色
黑白
类型
全部
照片
剪贴画
素描
动画 GIF
透明
版式
全部
方形
横版
高
人物
全部
仅脸部
半身像
日期
全部
过去 24 小时
过去一周
过去一个月
去年
授权
全部
所有创作共用
公共领域
免费分享和使用
在商业上免费分享和使用
免费修改、分享和使用
在商业上免费修改、分享和使用
详细了解
清除筛选条件
安全搜索:
中等
严格
中等(默认)
关闭
筛选器
768×1024
scribd.com
Finite Difference Method Using M…
160×120
ww2.mathworks.cn
Finite Difference Implementation in M…
538×636
tessshebaylo.com
Heat Equation Finite Difference Matlab …
2048×2898
slideshare.net
Finite difference Matlab Code | …
452×640
slideshare.net
Finite difference Matlab Code | …
1024×576
matlabscripts.com
Finite Difference Method in Matlab: A Quick Guide
1200×630
gistlib.com
gistlib - code for finite difference method by centered differences in ...
3756×1924
researchgate.net
Finite Difference Method in MATLAB?
850×394
researchgate.net
Finite Difference Method in MATLAB?
419×314
tessshebaylo.com
Finite Difference Method 1d Heat Equation Matlab Code - Tessshebaylo
1201×901
Stack Overflow
differential equations - Implement finite difference method in matlab ...
1025×782
cannondigi.com
Finite Difference Method Beam Deflection Matlab Code - The Best Picture ...
850×1121
cannondigi.com
Finite Difference Beam Propagation Method …
1200×630
gistlib.com
gistlib - create a finite difference equation that uses conduction and ...
1076×565
modellingsimulation.com
Everything Modelling and Simulation: Finite Difference Approach by ...
1200×600
github.com
GitHub - erellaz/Finite_Difference_Modeling: Acoustic wave equation ...
601×825
stackoverflow.com
math - getting problem solvin…
780×634
freelancer.com
MATLAB - FINITE DIFFERENCE METHO…
780×596
freelancer.com
MATLAB - FINITE DIFFERENCE METHO…
734×310
chegg.com
2. Finite difference formulas. Write a Matlab | Chegg.com
703×217
chegg.com
use finite difference to solve. Solve using matlab | Chegg.com
743×271
chegg.com
Solved use finite difference to solve. Solve using matlab | Chegg.com
727×245
chegg.com
use finite difference to solve. Solve using matlab | Chegg.com
525×700
chegg.com
Solved Finite Difference in M…
850×657
ResearchGate
(PDF) MATLAB implementation of Finite Difference Method for De…
1555×801
chegg.com
Solved Advanced MATLAB - Finite Difference Method 0 | Chegg.com
1200×600
github.com
GitHub - ira-zibbu/finite-difference-methods: Algorithms in MATLAB for ...
1416×1416
engineer.john-whittington.co.uk
MATLAB Finite Difference Time Dom…
1016×677
engineer.john-whittington.co.uk
MATLAB Finite Difference Time Domain Acoustic Modelling | John ...
320×320
researchgate.net
The flow chart of the finite difference code in Matlab. | Do…
850×1100
researchgate.net
(PDF) Finite difference modeling of acoustic w…
550×823
bol.com
Finite Difference Fundamentals in M…
647×680
chegg.com
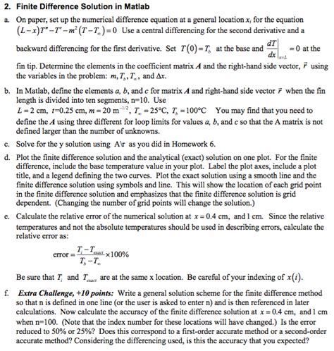
2. Finite Difference Solution in Matlab a. On paper, | Chegg.c…
756×656
chegg.com
Solved Finite Difference in MATLAB 0 solutions submitted | Chegg.com
664×700
Chegg
Solved I only need the finite difference Matlab code fo…
某些结果已被隐藏,因为你可能无法访问这些结果。
显示无法访问的结果
报告不当内容
请选择下列任一选项。
无关
低俗内容
成人
儿童性侵犯
反馈