你提供的照片可能用于改善必应图片处理服务。
隐私政策
|
使用条款
无法使用此链接。检查链接是否以 "http://" 或 "https://" 开头,然后重试。
无法处理此搜索。请尝试其他图像或关键字。
试用视觉搜索
使用图像搜索、识别对象和文本、翻译或解决问题
将一个或多个图像拖到此处,
上传图像
或
打开相机
将图像放置到任意位置以开始搜索
要使用可视化搜索,请在浏览器中启用相机
English
全部
搜索
图片
灵感
创建
集合
视频
地图
资讯
更多
购物
航班
旅游
笔记本
自动播放所有 GIF
在这里更改自动播放及其他图像设置
自动播放所有 GIF
拨动开关以打开
自动播放 GIF
图片尺寸
全部
小
中
大
特大
至少... *
自定义宽度
x
自定义高度
像素
请为宽度和高度输入一个数字
颜色
全部
仅限颜色
黑白
类型
全部
照片
剪贴画
素描
动画 GIF
透明
版式
全部
方形
横版
高
人物
全部
仅脸部
半身像
日期
全部
过去 24 小时
过去一周
过去一个月
去年
授权
全部
所有创作共用
公共领域
免费分享和使用
在商业上免费分享和使用
免费修改、分享和使用
在商业上免费修改、分享和使用
详细了解
清除筛选条件
安全搜索:
中等
严格
中等(默认)
关闭
筛选器
1200×675
examples.com
20+ Rules Examples
1024×1024
askanydifference.com
Rules vs Laws: Difference and Com…
1024×1024
askanydifference.com
Rules vs Policies: Difference and Comparison
800×800
askanydifference.com
Rules vs Policies: Difference and Com…
1600×1067
askanydifference.com
Rules vs Policies: Difference and Comparison
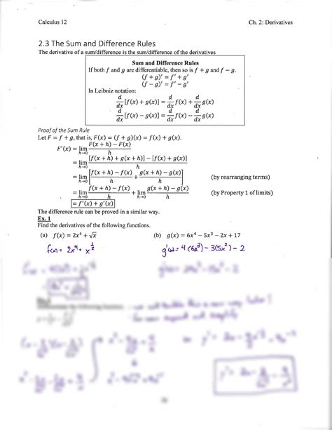
1620×2096
studypool.com
SOLUTION: The sum and differen…
768×1024
scribd.com
Active and Passive Voice - Differenc…
1920×1080
laborfunds.org
Minimum Difference Rules Updated - Mid-America Carpenters Regional ...
1600×2263
tutorstips.com
Difference between Polici…
1200×675
tutorstips.com
Difference between Rules and Methods – Tutor's Tips
1080×1080
brunofuga.adv.br
Degree Of Comparison Rules With Examples…
1200×628
progress.com
A Difference in Inference: Handling Interdependencies Between Rules
1200×730
diffzy.com
Rules vs. Laws - What's the Difference (With Table)
640×360
slideshare.net
DIFFERENCE RULES VS REGULATIONS definition.pptx
1000×611
en.neurochispas.com
Sum and Difference Rule of Derivatives - Examples with answe…
850×127
researchgate.net
First-difference rules with rational approximation | Download ...
500×500
keydifferences.com
Difference Between Rules and Policies …
850×124
researchgate.net
First-difference rules with latest available data | Download Scientific ...
900×580
fukushima-label.de
Rules Vs. Regulations: Know The Difference – VZLK
260×280
shutterstock.com
Derivative Rules Difference Rule For…
1080×1080
positiveschoolsolutions.com
The Difference Between Rules and Procedures …
799×835
pediaa.com
What is the Difference Between Rules and R…
1536×1024
baltimorechronicle.com
How to Use Each other and One another Correctly in English
1200×1556
studocu.com
Differentiation Rules: Sum, Difference, P…
1620×2096
studypool.com
SOLUTION: Complete english …
1024×724
animalia-life.club
Difference Threshold
1920×1080
fity.club
Differentiation Rules
1280×720
fity.club
Derivative Rules
1024×768
SlideServe
PPT - Basic Differentiation Rules PowerPoint Presentation, free ...
1280×720
fity.club
Differentiation Rules
640×480
slideshare.net
Rules_for_Differentiation.ppt
1600×2263
storage.googleapis.com
What Is The Difference Between Rule And Section …
1024×768
slideserve.com
PPT - Basic rules of differentiation PowerPoint Presentation, free ...
640×480
slideshare.net
Day_1_-_Rules_for_Differentiation (1).ppt
1024×576
SlideServe
PPT - Basic Differentiation Rules & Rates of Change PowerPoint ...
某些结果已被隐藏,因为你可能无法访问这些结果。
显示无法访问的结果
报告不当内容
请选择下列任一选项。
无关
低俗内容
成人
儿童性侵犯
反馈