English
全部
搜索
图片
视频
短视频
地图
资讯
更多
购物
航班
旅游
笔记本
报告不当内容
请选择下列任一选项。
无关
低俗内容
成人
儿童性侵犯
时长
全部
短(小于 5 分钟)
中(5-20 分钟)
长(大于 20 分钟)
日期
全部
过去 24 小时
过去一周
过去一个月
去年
清晰度
全部
低于 360p
360p 或更高
480p 或更高
720p 或更高
1080p 或更高
源
全部
Dailymotion
Vimeo
Metacafe
Hulu
VEVO
Myspace
MTV
CBS
Fox
CNN
MSN
价格
全部
免费
付费
清除筛选条件
安全搜索:
中等
严格
中等(默认)
关闭
筛选器
2:34
TikTok
deriv.blueprint
How to Trade on Deriv in 2025: Tools and Strategies
Discover how to trade on Deriv in 2025 with free analysis tools and trading robots. Boost your trading success effortlessly! #freeanalysistool #binarytrading #deriv PROF BEN forexblueprint(@deriv.blueprint). original sound - PROF BEN forexblueprint. how to trade on deriv on 2025 get free analysis tool get free trading robot #freeanalysistool # ...
已浏览 3.5万 次
2024年12月15日
短视频
0:18
已浏览 1.6万 次
Tutorial de Copas para Brindis Personalizadas
deriv24
1:00
已浏览 14.2万 次
Cómo Hacer un Moño Coquette con un Tenedor
deriv24
Deriv Calculus
5:25
Khan Academy
Khan Academy
Sal Khan
2013年1月31日
8:20
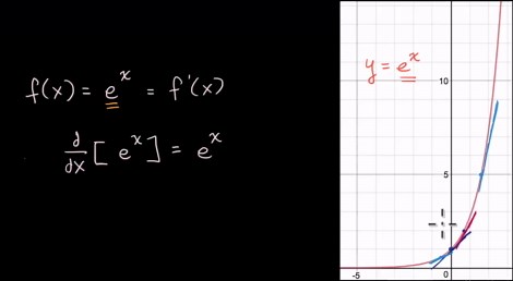
Derivative of 𝑒ˣ
Khan Academy
2018年6月29日
5:12
Derivatives of inverse functions: from table
Khan Academy
2016年8月21日
热门视频
0:17
🎓 Free learning that fits your schedule. With #DerivAcademy, learn at your own pace so that your trading education continues at home or on the go. Begin your journey now: https://deriv.link/417p0f2 #FlexibleLearning #TradingEducation | Deriv.com
Facebook
Deriv.com
已浏览 627 次
2024年11月29日
0:19
Learning to trade shouldn’t be complex. Deriv Academy gives you free access to lessons, tools, and demos — everything you need to grow your skills with confidence. 🎓 Register today: https://deriv.link/3KIud7m #DerivAcademy #LearnToTrade #TradingEducation Disclaimer: The products offered on our website, including CFDs, are complex derivative products that carry a significant risk of potential loss. You should consider whether you understand how these products work and whether you can afford to t
Facebook
Deriv.com
已浏览 317 次
2 个月之前
1:01
Wondering how to make the most out of your chart setup? 📊 Watch this quick tutorial on how to arrange your charts on Deriv X using TradingView. Multitasking is made easier! Experience it on Deriv X now. 👉 https://deriv.link/4h5v1ym Tap like, share, and let us know in the comments if you’re already customizing your own trading setup! #DerivX #TradingView Disclaimer: The products offered on our website are complex derivative products that carry a significant risk of potential loss. You should co
Facebook
Deriv.com
已浏览 487 次
2024年10月17日
Deriv Application Problems
[Hot Item] AC Servo Motor and Drive 0.4kw 48V 3000rpm 3 Pha Unit Mige 3m Cable and Direct Adtech Brake Deriv and Direct Drive
made-in-china.com
3 周前
0:36
The Fundamental Theorem of Calculus
YouTube
Chemistric
已浏览 11 次
3 周前
0:29
Comparison of function and its derivative values.
YouTube
Chemistric
已浏览 2 次
1 个月前
0:17
🎓 Free learning that fits your schedule. With #DerivAcademy, le
…
已浏览 627 次
2024年11月29日
Facebook
Deriv.com
0:19
Learning to trade shouldn’t be complex. Deriv Academy gives yo
…
已浏览 317 次
2 个月之前
Facebook
Deriv.com
1:01
Wondering how to make the most out of your chart setup? 📊 Watch th
…
已浏览 487 次
2024年10月17日
Facebook
Deriv.com
16:50
Deriv New vs Old Website Compared – What You’re Missing!
已浏览 115 次
4 周前
YouTube
Mr Teriv
0:30
The #1 Mistake New Deriv Traders Make
已浏览 6 次
3 周前
YouTube
Deriv Edge
29:05
Deriv Tutorial for beginners 2026 in kiswahili, After watching this vide
…
已浏览 1 次
2 个月之前
YouTube
DERIV PRESIDENT ACADEMY 🇰🇪
0:10
Beginner's Guide to Deriv Trading for Success
已浏览 1914 次
5 个月之前
TikTok
defentraders.site
Deriv Full Course- INTRODUCTION PART 2 #DerivTutorial #OnlineTra
…
已浏览 1.1万 次
10 个月之前
TikTok
deriv_trading_classes
Deriv Over 3 & Under 7 Strategy 🔥 | Full 2025 Trading Course Tutorial
已浏览 6179 次
2024年7月17日
YouTube
Deriv Navigator Academy
Beginner's Guide to Deriv Trading Tools
已浏览 2767 次
8 个月之前
TikTok
dollaprinter.comb
3:49
Jocelyn Deloumeaux. dériv
已浏览 98.4万 次
2007年5月6日
YouTube
Jocelyn Deloumeaux
4:07
Microsoft Word Tutorial - part 01 of 13 - Word Interface 1
已浏览 125.8万 次
2009年12月1日
YouTube
Computer Learning Zone
3:31
Trance - 009 Sound System Dreamscape
已浏览 3944.3万 次
2007年1月5日
YouTube
Tranceluv
11:54
Beginners Guide to Acrylic Nails Part 1
已浏览 367.9万 次
2011年8月11日
YouTube
Naio Nails
36:22
Understand Calculus in 35 Minutes
已浏览 524.7万 次
2018年9月10日
YouTube
The Organic Chemistry Tutor
5:39
How to Read Japanese Candlestick Charts?
已浏览 329.2万 次
2013年11月28日
YouTube
Trading 212
4:33
How to Braid - For Beginners | Missy Sue
已浏览 562.9万 次
2014年3月20日
YouTube
Missy Sue
14:43
Microsoft Access 2013 Tutorial Level 1 Part 01 of 12 - Database Te
…
已浏览 108.7万 次
2013年8月21日
YouTube
Computer Learning Zone
58:04
Derivatives for Beginners - Basic Introduction
已浏览 141.3万 次
2020年7月27日
YouTube
The Organic Chemistry Tutor
11:59:59
Java Full Course for free ☕
已浏览 1338.7万 次
2020年11月9日
YouTube
Bro Code
9:46
TradingView Tutorial Part 1 - How to Setup TradingView Charts and Cu
…
已浏览 39.9万 次
2017年11月1日
YouTube
TRADEPRO Academy
2:09
How to Do Hip Lifts & Basic Shimmy | Belly Dancing
已浏览 3245万 次
2011年5月19日
YouTube
Howcast
50:14
How To Trade Futures Contracts [Full & Live Explanation] | Trading
…
已浏览 74.8万 次
2021年2月27日
YouTube
Trade Brigade
4:45
How to Install HP Officejet 4500 Wireless All In One Printers to Pri
…
已浏览 14.3万 次
2012年6月29日
YouTube
Vineet Agarwal
9:26
Calculus: Derivatives 1 | Taking derivatives | Differential Calculus
…
已浏览 342.9万 次
2007年10月3日
YouTube
Khan Academy
7:56
Bill Poulos Presents: Call Options & Put Options Explained In 8 Minute
…
已浏览 338.1万 次
2013年12月10日
YouTube
Profits Run
45:00
The Only Day Trading Strategy You Will Ever Need (Full Tutorial: Begi
…
已浏览 558万 次
2021年6月16日
YouTube
The Trading Channel (The Trading Channel)
23:29
Binance Tutorial for Beginners - Buy & Trade Cryptocurrency on Binance
已浏览 70.4万 次
2021年1月10日
YouTube
MoneyZG
13:54
How to use Fibonacci Retracement 💲 [step-by-step] Fibonacci Trading S
…
已浏览 18.5万 次
2021年5月28日
YouTube
Mind Math Money
观看更多视频
更多类似内容
反馈