English
全部
搜索
图片
视频
短视频
地图
资讯
更多
购物
航班
旅游
笔记本
报告不当内容
请选择下列任一选项。
无关
低俗内容
成人
儿童性侵犯
时长
全部
短(小于 5 分钟)
中(5-20 分钟)
长(大于 20 分钟)
日期
全部
过去 24 小时
过去一周
过去一个月
去年
清晰度
全部
低于 360p
360p 或更高
480p 或更高
720p 或更高
1080p 或更高
源
全部
Dailymotion
Vimeo
Metacafe
Hulu
VEVO
Myspace
MTV
CBS
Fox
CNN
MSN
价格
全部
免费
付费
清除筛选条件
安全搜索:
中等
严格
中等(默认)
关闭
筛选器
bartleby.com
29fb2cb5-d066-4b2f-82ae-09428c6183e1
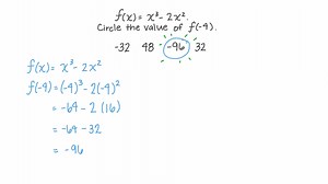
22 please help, I tried contacting the teacher but everything has been so hard due to virus, he hasn't replied to any of my email. please help (a) Find the critical points, if any, of the following function on the given interval.(b) Use a graphing de
2020年4月9日
Function Finding Tutorial
Function Basics
teachertube.com
已浏览 1.1万 次
2009年9月29日
9:24
Functions: Identification, Notation & Practice Problems
Study.com
已浏览 4.6万 次
2013年1月14日
1:07
Do you know how to solve a Functions Problem? #functions #maths #mathlearning #gpadlearnmaths
YouTube
Gpad Learn Maths
已浏览 132 次
1 个月前
热门视频
How to Find the Slope, Y-intercept, & Equation For a Linear Function Given a Values Table | Algebra | Study.com
study.com
2021年6月10日
Redefine the function positions using the function find.... | Filo
askfilo.com
已浏览 5122 次
11 个月之前
Writing the Equation of a Sine Function Given its Graph | Trigonometry | Study.com
study.com
2023年2月10日
Calculus Functions Explained
0:35
How Calculus Works 🦋 | 𝑶𝒑𝒆𝒏𝑴𝒂𝒕𝒉𝑪𝒊𝒓𝒄𝒍𝒆
Facebook
𝑶𝒑𝒆𝒏𝑴𝒂𝒕𝒉𝑪𝒊𝒓𝒄𝒍𝒆
已浏览 3.1万 次
2023年12月13日
Calculus Definitions, Theorems, and Formulas - Statistics How To
statisticshowto.com
2024年6月12日
6:40
Basic Calculus Types, Formulas & Rules
Study.com
已浏览 2.5万 次
2017年5月9日
How to Find the Slope, Y-intercept, & Equation For a Linear Function
…
2021年6月10日
study.com
Redefine the function positions using the function find.... | Filo
已浏览 5122 次
11 个月之前
askfilo.com
Writing the Equation of a Sine Function Given its Graph | Trigon
…
2023年2月10日
study.com
8:04
Graphing Functions by Plotting Points
已浏览 7800 次
2013年9月16日
Study.com
Answered: At the indicated point for the function, find the following. Y
…
2019年9月1日
bartleby.com
Answered: Steps to graph the function: Step1: Identify the varia
…
2021年3月6日
bartleby.com
4:07
Recognizing functions from graph
2011年11月5日
Khan Academy
Sal Khan,Monterey Institute for Technology an…
4.1 - Identifying Functions
已浏览 1911 次
2017年3月12日
YouTube
Meagan Kelly
Creating a Linear Function Given Slope and a Point #math #maths #
…
已浏览 1418 次
2023年12月21日
TikTok
algebra.how.to
Command/Control F (Find) in Google Docs
已浏览 2697 次
2013年5月17日
YouTube
Danilo Marrone
8:03
Function Point Analysis
已浏览 1万 次
2020年4月14日
YouTube
Teena V
7:23
Finding Function Values
已浏览 19.3万 次
2009年6月15日
YouTube
Mathispower4u
5:23
Composite Functions
已浏览 386.9万 次
2018年2月2日
YouTube
The Organic Chemistry Tutor
21:19
Finding Critical Numbers
已浏览 79.6万 次
2018年3月3日
YouTube
The Organic Chemistry Tutor
Evaluating a Function at a Point
2024年5月24日
nagwa.com
10:49
How To Graph Exponential Functions
已浏览 78万 次
2018年1月30日
YouTube
The Organic Chemistry Tutor
3:19
How to Identify Functions | Mathcation
已浏览 2万 次
2018年12月30日
YouTube
Mathcation
4:27
Function Notation in Graphs
已浏览 1.5万 次
2018年1月15日
YouTube
Monica Clifton
2:53
Algorithms Lesson 1: Bubblesort
已浏览 66.9万 次
2009年1月1日
YouTube
xoaxdotnet
4:47
How to use the FIND function in Excel
已浏览 1.1万 次
2015年10月14日
YouTube
Excel Tip
3:37
Finding an Exponential Function
已浏览 13.7万 次
2011年9月28日
YouTube
DrPhilClark
5:22
Madness Combat 6.5
已浏览 492.3万 次
2011年9月25日
YouTube
Krinkels
3:01
How to use FIND Formula in Excel
已浏览 14.1万 次
2014年3月12日
YouTube
TrumpExcel
4:29
Evaluate a Function from a Graph
已浏览 32.7万 次
2014年8月1日
YouTube
Mathbyfives
10:28
Linear Demand Equations - part 1(NEW 2016)
已浏览 50.8万 次
2016年9月5日
YouTube
Jason Welker
9:34
Introduction to functions
已浏览 112.6万 次
2007年3月18日
YouTube
Khan Academy
5:36
Graphing a Basic Function
已浏览 129万 次
2011年11月7日
YouTube
Khan Academy
6:17
How to Graph a Piecewise Function
已浏览 79.9万 次
2010年9月30日
YouTube
Brian McLogan
1:32
Exponential Equation Given a Table
已浏览 20.1万 次
2018年9月5日
YouTube
Mario's Math Tutoring
展开
更多类似内容
反馈